Aquí va la selección de artículos / noticias Covid -19 de esta semana (ver método y revisores aquí). Encontraréis:
- Un par de gemelos adultos my gemelos (univitelinos, mismo domicilio, mismo trabajo, misma fuente de infección) pero con dos formas diferentes de Covid-
- Los italianos resetean el calendario Covid-2019
- Actualización en Covid prolongado (Long Covid)
- Impacto de Covid-19 en el consumo de antibióticos y actividades PROA
- Algoritmo de los CDC para uso de los test antigénicos
- ACTT-2
- Dos ensayos clínicos de fase 3 con vacunas. Uno de ellos contiene la gráfica del siglo.
.
-
Epidemiología. Transmisión. Prevención
- Evidence of SARS-CoV-2 RNA in an Oropharyngeal Swab Specimen, Milan, Italy, Early December 2019 (Emerging Infectious Diseases). Se recuperaron frotis orofaríngeos de 39 personas con sospecha de sarampión o rubéola que habían sido congelados dentro del programa de vigilancia nacional de estas enfermedades en el otoño de 2019. En uno de ellos se identificó ARN de SARS-CoV-2 demostrando infección por este virus. Se trataba de un niño de 4 años de la zona de Milán que el 21 de noviembre de 2019 comenzó con un cuadro catarral que se siguió de un rash (01/12) realizándose el frotis el 05/12. La secuenciación (parcial) muestró una homología del 100% con la cepa WU-1. Este estudio sugiere de una manera bastante cierta que la circulación de SARS-CoV-2 pudo ser más precoz de lo que se pensaba.
- Infection fatality risk for SARS-CoV-2 in community dwelling population of Spain: nationwide seroepidemiological study (BMJ) Este trabajo estima la infection fatality ratio (IFR) de Covid-19 en España durante la primera ol utilizando como referencia, por un lado los datos del estudio nacional de seroprevalencia (denominador) y por otra del registro de muertes en pacientes con Covid-19 confirmado así como el exceso de mortalidad identificado por sistema de monitorización de mortalidad MoMo. De esta manera la IFR global fue del 0.8% subiendo a entre el 11 y el 16% en varones por encima de 80 años.
.
- Three-quarters attack rate of SARS-CoV-2 in the Brazilian Amazon during a largely unmitigated epidemic (Science) En una muestra de donantes de sangre de Manaus (Brasil) durante el mes de julio (un mes después del pico de la epidemia) la seroprevalencia de Covid-19 fue del 44%. Corrigiendo por la caída esperada en los títulos se estima una tasa de ataque del 66% en junio y del 76% en octubre. Estos hallazgos sugieren que el umbral de seroprevalencia para alcanzar la inmunidad de rebaño es demasiado alto como para buscar la inmunidad de rebaño de forma natural como estrategia de control.
.
- The impact of COVID-19 nonpharmaceutical interventions on the future dynamics of endemic infections (PNAS). Las medidas no farmacológicas (MNF) de prevención de transmisión de SARS-CoV-2 pueden tener un beneficio colateral a corto plazo sobre la circulación de otros virus que se transmiten de una manera similar (p.ej. VRS). Sin embargo, en un ejercicio de epidemiología-ficción mediante modelización los autores de este trabajo, plantean la hipótesis de que esta disminución de la exposición durante la aplicación de las MNF podría aumentar la susceptibilidad de un número significativo de personas a estos virus, lo que podría hacer que en posteriores temporadas la circulación fuese más intensa y la gravedad de las infecciones mayor
-
Patogenia. Fisiopatología
- Simultaneous OVID-19 in Homozygous Twins (Annals of Internal Medicine). En este caso clínico recogen la infección simultánea por SARS-CoV-2 en marzo de dos gemelos homozigotos idénticos de 60 años, que vivían en la misma calle y trabajaban en el mismo lugar, sin historia previa de comorbilidad ni tratamiento habitual y con la misma fuente de contacto responsable del contagio. Se confirmó el diagnóstico mediante PCR en frotis nasofaríngeo con una Ct de 19 y 21, respectivamente. Ambos desarrollaron neumonía y requirieron ingreso a la vez, recibiendo tratamiento con oxigenoterapia, hidroxicloroquina, darunavir/cobicistat y enoxaparina profiláctica. A pesar de que la presentación al inicio fue similar, el gemelo número 1 fue dado de alta a las 2 semanas, mientras que el gemelo número 2 mantuvo una elevación constante de los reactantes inflamatorios y requirió traslado a UCI y ventilación mecánica invasiva por insuficiencia respiratoria durante 17 días. Los autores discuten que frecuentemente se ha apostado por la genética para explicar la variedad en la gravedad de la infección, siendo esta explicación poco plausible para entender las diferencias entre estos dos gemelos.
.
- Towards an accurate and systematic characterisation of persistently asymptomatic infection with SARS-CoV-2 (The Lancet Infectious Diseases). En artículo los autores expresan la dificultad para estimar qué proporción de los pacientes con infección por SARS-CoV-2 son realmente asintomáticos. Atribuyen esta dificultad a la ausencia de unos criterios unificados para la definición de caso sintomático, al sesgo de memoria y a un seguimiento probablemente insuficiente que impida diferenciar entre pacientes asintomáticos y pre-sintomáticos, y al uso de encuestas serológicas que hacen una evaluación retrospectiva e imprecisa de los síntomas. Todos estos factores llevarían a una sobreestimación de los casos asintomáticos. El subgrupo de pacientes presintomáticos es especialmente importante debido a su capacidad de diseminación y falta de aislamiento en ausencia de síntomas. Los autores indican la necesidad de establecer unos criterios homogéneos para definir la infección persistentemente asintomática por SARS-CoV-2: 1) Hacer un seguimiento de los pacientes durante 14 días desde la exposición o desde el diagnóstico si la exposición es desconocida; 2) interrogar en varios momentos del seguimiento sobre el amplio espectro de síntomas; 3) definir una pauta diagnóstica protocolizada (de momento con PCR en frotis nasofaríngeo) que permitan conocer la dinámica viral en estos pacientes, evitando su realización antes de los 5 días tras exposición.
.
- Genetic mechanisms of critical illness in Covid-19. (Nature) La variabilidad en la gravedad de los síntomas entre diferentes pacientes sigue siendo un enigma. En este estudio de más de 2200 pacientes con infección crítica por SARS-CoV-2 se han tratado de identificar rasgos genéticos que se asocien a una mayor gravedad de la infección en comparación con sujetos sanos. Se han encontrado varias variantes en este tipo de pacientes, lo cual puede servir de base para establecer nuevas dianas terapéuticas (genes IFNAR2, OAS, DPP9 y CCR2). Otra variante encontrada fueron niveles elevados de expresión del gen TYK2, el cual codifica una tirosin kinasa perteneciente a la familia de proteínas Janus Kinasas (JAK), responsables de la señalización y transducción de interleuquinas. Esto podría explicar los altos niveles de interleuquinas encontradas en pacientes con infección grave, y nos trae a colación el ensayo ACTT-2 (Baricitinib más Remdesivir).
.
-
Clínica. Complicaciones
- Facing up Long-Covid (The Lancet). Breve editorial que contextualiza muy acertadamente al Covid prolongado una entidad emergente de la que desconocemos numerosos aspectos que el artículo apunta. Da pistas interesantes sobre cómo debemos abordar la investigación sobre esta entidad.
.
- Post-Acute COVID Syndrome (IDSA) Repositorio IDSA de la literatura más relevante (así como de otros recursos) sobre long COVID.
.
- Impact of the COVID-19 pandemic on community antibiotic prescribing in Scotland (JAC Antimicrobial Resistence). Tras un aumento inicial, el consumo de antibióticos de perfil respiratorio en Escocia disminuyó significativamente por debajo de los correspondientes al año anterior. No se observó este cambio con los antibióticos de perfil no respiratorio.
.
- Covid delays India’s attempts to curb widespread overuse of antibiotics (Financial Times) Como en el resto del mundo, la pandemia Covid ha frenado las actividades PROA también en la India. El problema es que este subcontinente es uno de los principales focos mundiales.
.
- Months of limbo at OpenBiome put fecal matter transplants on hold across the country (StatNews) Las regulaciones derivadas de la pandemia Covid-19 están dificultando la gestión de muestras para trasplante de material fecal al banco de heces pionero en EE.UU.
.
-
Diagnóstico
- Interim Guidance for Antigen Testing for SARS-CoV-2 (CDC). Documento de CDC que resume de una manera muy bien estructurada el rendimiento diagnóstico de esta prueba, en quién está indicada y cómo interpretar su resultado en 3 contexto distintos: pacientes sintomáticos (probabilidad alta), pacientes asintomáticos pero contactos estrechos de pacientes Covid (probabilidad intermedia) y pacientes asintomáticos sin antecedente epidemiológico de exposición (probabilidad baja). Ver abajo:
.
-
Tratamiento y profilaxis
- Baricitinib plus Remdesivir for Hospitalized Adults with Covid-19 (NEJM). Hemos dedicado una entrada al ensayo ACTT en proantibióticos (ver aquí)
.
- Efficacy of Tocilizumab in Patients Hospitalized with Covid-19 (NEJM) Aparece en el número de esta semana pero fue hecho público hace aproximadamente un mes por lo que no lo desarrollamos hoy.
.
-
Vacunas
Semana importante con resultados de Fase III de 2 de las principales vacunas. Debajo de ambos artículos dejamos un cuadro resumen muy ilustrativo de las principales diferencias de ambos ensayos clínicos realizado y publicado por @EricTopol en su cuenta de Twitter.
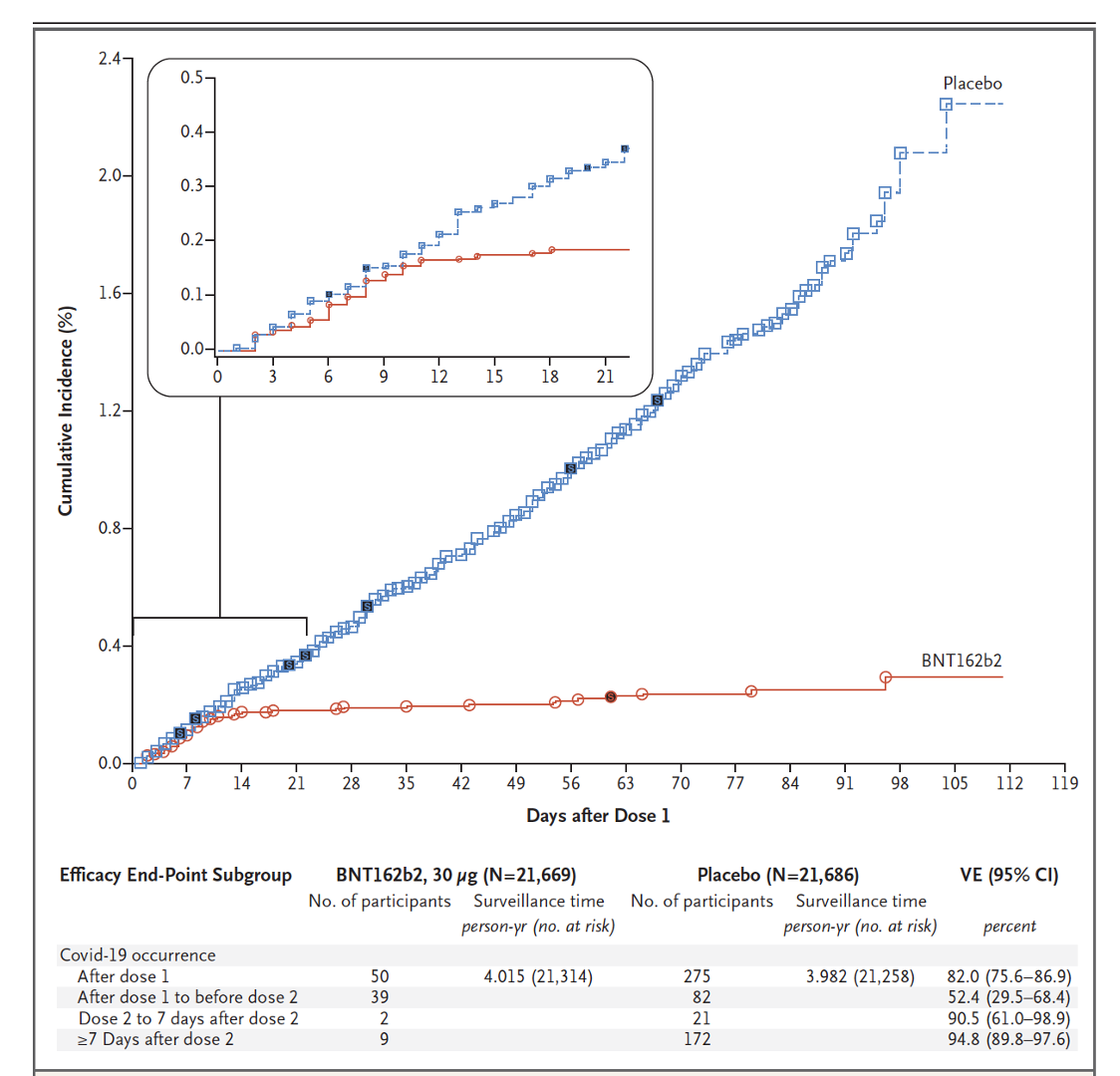
- Safety and Efficacy of the BNT162b2 mRNA Covid-19 Vaccine (NEJM). Probablemente contenga la curva del año (ver abajo), este ensayo clínico aleatorizado doble ciego con dos dosis de la vacuna de ARNm BNT162b2 (Biotech / Pfizer) en 43.448 pacientes de más de 16 años sin antecedente de Covid clínico ni inmunosupresión significativa o embarazo (21.720 fueron asignados al brazo de vacuna), muestra una gran eficacia (ocurrencia de Covid-19 sintomático confirmado por RT-PCR, una vez transcurridos al menos 7 días tras la segunda dosis de la vacuna). La eficacia, por intención de tratar para la variable primaria fue del 95% (8/21.728 vs 162/21728) con IC95% 90.3% a 97-6%. También puede considerarse una vacuna segura puesto que si bien los síntomas de reactogenicidad fueron más frecuentes en los vacunados no hubo problemas significativos de seguridad. Los síntomas atribuibles a la reactogenicidad local (sobre todo dolor en la zona del pinchazo) fueron más frecuentes en el grupo que recibió la vacuna, pero en general fueron tolerables (leves / moderados). Los síntomas sistémicos también fueron más frecuentes en el brazo de la vacunación (Fatiga, cefalea y fiebre fueron los más frecuentes). Se identificaron 4 eventos adversos graves en el «brazo» de la vacuna (dolor en el hombro por la administración, adenopatía axilar, parestesia en una pierna y taquicardia paroxística). Otros aspectos interesantes son: 1) los datos eficacia tras la primera dosis (casos identificados más de 7 días después de la primera dosis pero antes de la vacuna: 39 vs 82; 52% de eficacia (IC95% 29,5% a 68,4%) 2) la eficacia para prevenir casos de Covid-19 grave 3) El diseño, con la información presentada, no permite inferir cuál es la eficacia de la vacuna en prevenir transmisión.

.
- Safety and efficacy of the ChAdOx1 nCoV-19 vaccine (AZD1222) against SARS-CoV-2: an interim analysis of four randomised controlled trials in Brazil, South Africa, and the UK (The Lancet). En este segundo artículo publicado en Lancet se presentan los resultados del ensayo de fase III de la vacuna de Oxford/AstraZeneca. Estudio complejo que requiere de una lectura detenida y profunda. Como pequeño resumen se trata de los resultados combinados de 4 ensayos clínicos realizados en Reino Unido, Brasil, y Sudáfrica. Sólo Reino Unido y Brasil incluyeron participantes en el estudio de fase III con 7548 y 4088 respectivamente. Los participantes recibieron aleatoriamente la vacuna ChAdOx1 nCoV-19 (dos dosis completas o bien media dosis y una completa) o el control que, según el ensayo, se trataba de una vacuna antimeningocócica conjugada (MenACWY) o solución salina. La vacuna obtuvo una eficacia del 62% (IC 95% 41% -75%) con dos dosis de vacuna y del 90% (IC95% 67%-97%) con media dosis de vacuna y dosis completa posterior. En este grupo solo se incluyeron pacientes menores de 55 años. La eficacia global fue del 70,4 % (IC 95% 54,8% – 80,6%).
.
- The Oxford/AstraZeneca Vaccine Efficacy Data (Science Translational Medicine) Interesantes reflexiones sobre un ensayo clínico extremadamente complejo de analizar. El editorialista se debate entre el optimismo del 90% de eficacia de la media dosis y el pesimismo del 60% de eficacia de la dosis completa. Lo que parece más claro es que es segura.
.
- Blunders Eroded U.S. Confidence in Early Vaccine Front-Runner (The New York Times). Esta es la versión divulgativa del anterior artículo, que entra además en el terreno regulatorio y los fallos cometidos por Astra con la FDA. Llama la atención que la autoría múltiple llegue a la prensa llana.
.
- How Moderna’s Vaccine Works (The New York Times). Fácil lectura (divulgación). Buena infografía.
.
- SARS-CoV-2 Vaccination and Vulnerable Populations (NEJM). Audiointerview. Interesante, como siempre, la entrevista de los editores en jefe y asociado de NEJM. En este caso sobre la evidencia disponible sobre las vacunas, así como sobre cuestiones logísiticas.
.
- Estrategias para abordar el escepticismo vacunal (@mariasundaram). Si quieres que tu cuñada se vacune, evita ponerte en un plano de superioridad, tal y como indica la autora en este hilo de twitter. Trata de entender cuáles son las razones que le hacen dudar de su eficacia / seguridad o incluso su necesidad. Porque el cuñadismo no tiene género ¿no?
.
- El hilo (por excelencia) de las vacunas (@florian_krammer). Es del 28 de septiembre pero queremos tenerlo a mano por si surgen dudas.
.
-
Profesión. Sociedad
- Sweden’s Covid Workers Are Quitting in Dangerous Numbers (Bloomberg). Un número creciente de profesionales sanitarios suecos están renunciando a sus puestos de trabajo por la mella de la pandemia en su salud física y mental.
.
- Emergency Physicians and Personal Narratives Improve the Perceived Effectiveness of COVID‐19 Public Health Recommendations on Social Media: A Randomized Experiment (Academic Emergency Medicine). En este experimento con twits simulados valorados por 2007 ciudadanos americanos se comprobó que aquellos originados en profesionales sanitarios (en este caso médicos de urgencias) tenían más credibilidad que los originados en las instituciones oficiales.
- Recopilación de los principales errores de razonamiento sobre evidencia científica y práctica clínica en pacientes Covid-19 (@VPRASDMDMP) Hilo en twitter de una de las referencias en Medicina Basada en la Evidencia, practicada desde el conocimiento de la práctica clínica. Muy ilustrativo.





Deja un comentario